
CAS 518997-91-6|TSBF 2,7-Bis(9,9'-spirobifluoren-2-il)-9,9'-spirobifloren
Molekulyar formula: C75H44
Molekulyar og'irligi: 945.15
Soflik: 97 foiz min.
Paket: 1 g / 5 g / 25 g
Butun dunyo bo'ylab yetkazib berish
- Butun dunyo bo'ylab yetkazib berish
- Sifat tekshiruvi
- 24/7 mijozlarga xizmat ko'rsatish
Mahsulotni tanishtirish
Kirish
TSBF OLED oraliq materialidir.
CAS spetsifikatsiyasi: 518997-91-6 TSBF , 2,7-Bis(9,9'-spirobifluoren-2-il)-9,9'-spirobifluoren
BUYUMLAR | XUSUSIYAT |
Absorbtsiya | THFda 350 nm |
Erish nuqtasi | 457 daraja (lit.) |
Hid | Oq kukun/kristallar |
lmaks | 353nm (CHCl3) (lit.) |
zichligi | 1,42±0,1 g/sm3 (taxmin qilingan) |
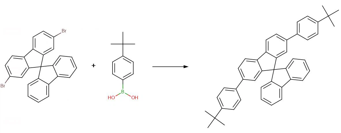
ning sinteziCAS: 518997-91-6 TSBF , 2,7-Bis(9,9'-spirobifluoren-2-il)-9,9'-spirobifloren

Malumot:
Kimyoviy aloqalar, 18, (2007), p. 1831 - 1833
Issiq teglar: cas 518997-91-6,518997-91-6,tsbf,2 7-bis(9 9'-spirobifluoren-2-yl)-9 9'-spirobifluoren, narx, kotirovka, chegirma, stokda, sotuvda






